【应用】羊毛亲水改性及其在活性染料扎染中的应用
作者:东南科仪
2021-08-30 00:00:00

羊毛织物因其丰满的手感、优异的保暖性、独特的悬垂性以及良好的弹性而备受消费者的青睐。由于纤维表面共价结合的脂质以及高交联(异肽键和二硫键)的致密鳞片层的存在,使得本该亲水的蛋白质纤维变得疏水,不仅影响羊毛织物穿着过程中的吸湿排汗性,而且严重影响染料在纤维表面的吸附与扩散。通过低浓度羟胺首先去除羊毛纤维表面共价结合的脂质,降低纤维的疏水性。然后利用L-半胱氨酸打开角蛋白内部的二硫键,同时形成新的二硫键,将L-半胱氨酸结合到羊毛纤维上,进而提高纤维的亲水性,改善羊毛的轧染性能。
实验仪器与方法
织物的润湿性测试:通过水滴的铺展时间来表征羊毛织物的润湿性,采用DSA30接触角测试仪滴加2 μL去离子水,记录从液滴接触织物开始至铺展过程镜面反射完全消失所需的时间。
实验结果与讨论
羟胺处理条件对织物润湿性的影响
羊毛纤维表面结合的脂质主要是以硫酯键、氧酯键形式共价交联存在的,羟胺可以通过亲核取代使全部的硫脂键及部分的氧酯键发生断裂,反应过程如图1所示,生成相应的羟肟酸以及羟基或者巯基。

图 1 羟胺与羊毛的作用机制
羟胺处理温度及时间对织物润湿性的影响如图2所示,在同一温度下随着羟胺处理时间的延长,水滴的铺展时间逐渐减小,羊毛织物表面逐渐变得亲水,水滴最快可在2s内完成铺展。此外,温度对处理织物达到最佳亲水状态时间有显著影响。在50℃下达到最佳亲水效果需要处理90min,60℃下为50min,而在70℃下仅仅需要40min,说明高温有助于加快羟胺与硫脂键、氧酯键的反应速率。为避免高温对羊毛纤维造成不必要的损伤,羟胺处理温度以60℃为宜,处理时间为50min。
图 2 羟胺处理温度及时间对织物润湿性的影响
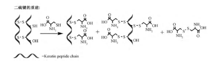
L-半胱氨酸对织物润湿性的影响
L-半胱氨酸可打开羊毛纤维上二硫键,并生成新的二硫键,L-半胱氨酸与羊毛纤维的反应机制如图3所示。

图 3 L-半胱氨酸与羊毛纤维的反应机制
L-半胱氨酸处理温度及时间对织物润湿性的影响如图4所示。在相同温度下,随着L-半胱氨酸处理时间的延长,织物的水滴铺展时间不断减小,亲水性不断提高。此外,随着处理温度的升高,织物达到最佳亲水效果的时间也不断减小。40℃下对织物进行 L-半胱氨酸处理,达到最佳亲水效果(水滴铺展时间大约2s)的时间大于120min,50 ℃下为60min,而在60℃下仅需要30min,说明较高的温度可以加快L-半胱氨酸的反应速率。为避免高温对羊毛的损伤,60℃下处理30min为最宜。
图4 L-半胱氨酸处理温度及时间对织物润湿性的影响
结论
1. 采用羟胺、L-半胱氨酸对羊毛织物进行改性,极大地提升了织物的亲水性且对纤维表观形貌基本上没有影响。
2. 根据单因素实验的结果分析,羊毛织物最佳处理工艺为:盐酸羟胺用量7%( owf),氢氧化钠浓度16. 7×10-2 mol / L,60 ℃处理50 min; L-半胱氨酸用量20%( owf),氨水浓度4.7×10-2 mol / L,60 ℃处理30 min。
本文有删减,详细信息请参考原文
李游亚,胡蝶,赵强强,何瑾馨.羊毛亲水改性及其在活性染料轧染中的应用[J].毛纺科技,2021,49(07):15-20.
关注我们