Loading...

【热分析课堂】利用TOPEM®技术分离显热流和潜热流

作者:东南科仪

2022-09-05 00:00:00

引言

明确材料的显热及潜热数据,对相变储热材料的研发改进以及生产时反应安全的控制都具有重要的意义。常规调制TMDSC仅能区分可逆热流和不可逆热流,无法区分显热与潜热。而梅特勒托利多独有的TOPEM®技术是一种新的温度调制DSC技术,可以将潜热流和显热流分开,并且可在一次测试中确定热容对频率的依赖性。

图片1.png 

梅特勒托利多 差示扫描量热仪DSC

 

显热与潜热

传统DSC测试的热流为总热流包括由显热流(Cp,由外部温度变化驱动)和潜热流(物理转化或化学反应产生的部分,由内部结构变化驱动),可以表示为:

 

图片2.png 

 

其中β 为样品加热速率,Δhr为热反应焓,α为反应程度(或结构变化程度)

物体在加热或冷却过程中,温度升高或降低而不改变原有相态所需吸收或放出的热流称为显热,对应式(1)中的第一项直接取决于加热速率,这里比例因子就是热容。

 

潜热是相变潜热的简称,指单位质量的物质在等温等压情况下,从一个相变化到另一个相吸收或放出的热量。潜热流为式(1)中的第二项,它是由样品中的物理化学过程决定的,它依赖于远离平衡状态的内部变量的变化,不由升温速率驱动。潜热不依赖于温度但是依赖于热效应的动力学,例如粘合剂的固化。反应过程中温度的变化并不能使样品回到它的初始状态,温度变化只能改变它的反应速率。潜热是总热流中不敏感的部分。它可以是吸热的,也可以是放热的,并且与结构的不可逆变化有关。

 

温度调制DSC的基本原理

调制DSC(TMDSC)的实验方法是在一个传统的温度程序(恒定的加热速率或冷却速率,或者恒温条件)上叠加一个小的温度振荡(调制)。

 

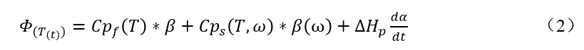
DSC实验中,样品与测试仪器进行热量交换,如果向样品提供热量,样品的温度就会升高;反之,如果停止输送热量,它的温度就会降低。在供热或放热后,温度变化要么立即发生,要么由于样品内部的动态过程,经过一定的时间延迟后发生。由于从快速的外部到缓慢的内部自由度热传递滞后会产生热松弛等原因,样品的比热容Cp会有频率依赖性。例如玻璃化转变过程中协同重排产生的熵波动,导致比热是频率依赖的,因此比热需要用复合方式描述。因此总热流公式可由公式(1)表示为:

 

图片3.png 

 

公式中,Cpf是由快速的内部自由度产生比热,与频率无关;Cps是由缓慢的内部自由度产生具有频率依赖性。

 

正弦温度调制DSC(ADSC)

其中应用最为广泛的为正弦温度调制DSC技术(ADSC),是在传统DSC线性控温的基础上,叠加了正弦波形的调制温度,使得样品处于线性升温和周期性波动温度的复合温控之下,利用傅里叶变换将复杂热效应分离成可逆热流和总热流。线性或平均升温速率提供了与传统DSC相同的信息(总热流率)

 

图片4.png 

1.正弦温度调制DSC温度程序:在基础加热速率上叠加周期性正弦温度微扰

 

在所有的TMDSC技术中,从测试热流中可以得到三种热流,他们分别是:总热流ΦNon,可逆热流ΦRev和不可逆热流ΦNon 。在特定频率下的调制信号,可逆和不可逆热流在对动力学和热力学都有依赖,可逆热流是对应加热速率无滞后的热流部分。在ADSC中,总热流的获得方式是将测试热流(至少一个周期)进行平均,可逆热流是由调制部分获得。不可逆热流是通过总热流和可逆热流的差值来获得:

 

图片5.png 

 

根据公式(2)当频率接近0时候,类似于准稳态,此时可逆热流与显热基本对应,不可逆热流与潜热流基本对应;当频率无穷大时候,具有频率依赖的比热容变化完全依赖动力学过程,这部分体现在不可逆热流曲线上。在某个特定频率下的调制信号则可逆与不可逆热流介于两者之间。ADSC中可逆热流曲线是对应加热速率无滞后的热流部分,不可逆热流则为总热流减掉可逆热流得到。

 

图片6.png 

然而,由于包括正弦温度调制ADSC在内的单频常规TMDSC受实验条件限制,测的数据可能显著偏离显热流和潜热流这两个热流分量。特别是因为不可逆热流的频率依赖性,如果动态测量可逆热流,通常会比显热流小,因为所有耗时长于特征测量时间(例如60)的时间依赖性过程都不会被测量,所以用相关计算程序得到的可逆热流和不可逆热流分量不能按照热力学来分析。这也是将被分离的热流成分称为可逆和不可逆热流(而不是直接称为显热流和潜热流)的原因。在准静态测量中,显热和可逆热流之间的差别变得很小,可以将两者对应,能够理想地分离显热流和潜热流。

 

多频随机温度调制TOPEM技术

 

TOPEM®是一种多频温度调制DSC技术,它与传统的温度调制技术的不同在于调制函数的类型和分析处理的方法。其温度程序是将随机的温度脉冲叠加在线性的温度程序上。在TOPEM实验中,温度调制的振幅为常数,但是在调制函数中脉冲的持续时间在一个范围内随机变化,这个范围可以由用户设定。范围的设定是通过选择最小和最大切换时间来进行的。测试结果为总热流和准稳态比热容Cp0 。然后用户可以计算不同频率下的比热容。

 

图片7.png 

2 TOPEM通过宽频范围测试信号,随机温度扰动

 

TOPEM®中,数据分析是通过对热流和加热速率的相关性分析来进行的。这就产生了与加热速率相关的热流部分和与加热速率不相关的热流部分。不相关部分就是不可逆热流ΦNon。可逆热流是从相关热流部分得到的。总热流是不可逆热流和可逆热流之和。

 

图片5.png 

 

TOPEM测试过程是准稳态测试(当频率ω接近0,类似于准稳态),如果线性和稳态需要在测试精度的范围内,TOPEM®测试的可逆热流和不可逆热流可以归属为显热热流和潜热热流,这样就能分离显热流和潜热流。

 

TOPEM技术应用示例

TOPEM技术除了和ADSC一样可以分离重叠热效应之外,还可得到准稳态比热容;在一次实验得到多频数据,分析频率依赖性;更加高准确性分离显热和潜热;基于准稳态热容的可逆热流信号和不可逆热流信号是相关性分析的直接结果;适用于研究固化反应、结晶、熔融、相转变等。

 

3展示了PET进行TOPEM测试的曲线,经过分析可以得到总热流曲线,可逆和不可逆热流曲线分别对应于显热流和潜热流,频率相关性,准稳态比热容。在调制热流曲线中,玻璃化转变和冷晶化都是清晰可见的。另外可以看到在80℃左右的玻璃化转变过程中,热容增加,但在冷结晶时又略有降低,这种行为在相位曲线中更加明显。除了准静态曲线外,图中还显示了测量频率为16.7 Hz时的曲线。在玻璃化转变时,随着频率的增加,温度向更高温度的转变可以清楚地看到。相反,在冷结晶时,没有观察到位移,说明这种效应只取决于温度,可以在一次实验测试中研究频率的依赖性。

 

图片9.png 

3 PET材料的TOPEM调制分析曲线

 

结论

TOPEM是梅特勒托利多开发的多频随机温度调制DSC技术,这种技术使潜热和显热分离成为可能,在足够低的基础加热速率和小的温度微扰下,即满足线性和稳态的条件下,作为结果得到的可逆热流和不可逆热流与该基础加热速率下的显热流和潜热流分量相等,即ΦRev=ΦSenΦNon=ΦLat,并具有较高的精确度。频率评估还允许通过一次测量在较宽的频率范围内确定复杂的(频率相关的)热容,所获得的信息助力于解释热事件以及过程动力学的研究。

 

参考文献

[1] M. Reading. Trends Polym. Sci. 1 (1993) 248.

[2] J.E.K. Schawe. Thermochim Acta 260 (1995) .

[3] 陆立明, 随机温度调制DSC技术TOPEM的理论和应用.

[4] J. Schawe, UserCom 20, 11.

[5] J. Schawe, UserCom 22, 11.

关注我们